Most adults have heard the phrase “Beer Goggle Effect”, which is supposed to reflect the change in perception that a person may have (usually of people of the opposite sex) after having a few drinks. “Suddenly, all of those people who looked semi-attractive on entering the bar look really, really appealing. Scientists have shown that it’s not just a lowering of standards — alcohol actually stimulates the part of the brain that judges facial attractiveness.”
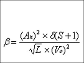
And here’s the equation:

where:
- B (beta) = the Beer Goggle Index, or, if you will, the likelihood that you’re about to do something that you are going to REALLY regret;
- An = number of units of alcohol consumed;
- S = smokiness of the room (graded from 0-10, where 0 clear air; 10 extremely smoky);
- L = luminance of ‘person of interest’ (candelas per square metre; typically 1 pitch black; 150 as seen in normal room lighting). (N.B.: This may explain why bars are dimly lit.);
- Vo = Snellen visual acuity (6/6 normal; 6/12 just meets driving standard); and
- d = distance from ‘person of interest’ (metres; 0.5 to 3 metres)
I think it’s important to take a closer look at each of the terms in this formula, and to note that as terms in the numerator increase, so will the Beer Goggle Index, but as terms in the denominator increase, the Beer Goggle Index will decrease.
(An)^2, the number of drinks will generate a geometric increase in the Beer Goggle index:

This curve is not too different from the relationship between blood alcohol content (%), which is related to the number of drinks consumed, and the likelihood of causing a traffic accident:

Smokiness of the room and distance from the ‘person of interest’, which have a direct relationship to the Beer Goggle index, will both act to blur your ability to see details that are potentially very important:

As you may expect, the more brightly lit the room, the lower the Beer Goggle Effect:

Finally, individuals with poor visual acuity are at a distinct disadvantage:

This supposed change in perception is the basis for Mickey Gilley’s classic romantic ballad, “Don’t All the Girls Get Prettier At Closing Time”, which you can access via https://www.youtube.com/watch?v=sYu3e6XtjH8 . (It kinda brings a tear to your eye, doesn’t it?)
A-a-a-a-and it can go both ways, yes?

But is the phenomenon real?
A number of studies suggest that this is a real phenomenon, exhibited by both men and women:
- In 2014, Chen, et. al. reported a study involving 103 male and female participants (n = 103) who were randomly assigned to alcohol consumption or placebo groups. Both groups were asked to assess the attractiveness of two types of pictures (faces and landscapes) with three levels of attractiveness for each stimulus category (high, moderate and low). They found significant interactions between beverage type and attractiveness level. Attractiveness ratings for moderate- and low-attractiveness faces were significantly higher in the alcohol compared with placebo condition, while there was no significant difference for high-attractiveness stimuli between these two conditions. As for landscapes, only low-attractiveness stimuli were rated significantly higher in the alcohol condition. They conclude that whether or not alcohol consumption leads to an increase in attractiveness ratings depends on the initial attractiveness of the stimulus materials. Alcohol consumption tends to affect ratings for stimuli with relatively low attractiveness. Furthermore, this effect is not limited to faces; it extends to other types of stimuli like landscapes.
- Attwood, et. al. (2012) report that the simultaneous use of nicotine (cigarettes) and alcohol potentiated this effect of rating people higher in attractiveness when under the influence.
Chen, X.; Wang, X.; Yang, D.; Chen Y. (2014). The moderating effect of stimulus attractiveness on the effect of alcohol consumption on attractiveness ratings. Alcohol Alcohol. Sep-Oct;49(5):515-9. doi: 10.1093/alcalc/agu026. Epub 2014 May 23.
Angela S. Attwood, A.S.; , Penton-Voak, I.S.; Christine Goodwin, C.; Munafò, M.R. (2012). Effects of acute nicotine and alcohol on the rating of attractiveness in social smokers and alcohol drinkers. Drug and Alcohol Dependence, Volume 125, Issues 1-2, 1 September 2012, pp. 43-48.
